Aller au contenu
  • En ligne récemment   0 membre est en ligne

    • Aucun utilisateur enregistré regarde cette page.

Messages recommandés

Posté(e)

Salut a tous,

hier j'ai eu un petit souci avec mon b5,cela c'est produit alors que je dépassais un autre véhicule,et là tout d'un coup plus de puissance .

Je pense que le système a du se mettre en sécurité,je décide donc de m'arreter un peu plus loin ,et de couper le contact environ 5 minutes mais sans avoir au préalable attendu 30 a 45 secondes avant de couper le contact.

 

Ci dessous le 2 diags que j'ai fais aujourd'hui,je tenais a préciser que le second diag a été fait après effacement des défaults du 1er

diag,suivi d'un roulage .

Dimanche,09,Avril,2017,12:58:03:30835
VCDS -- Logiciel d'émulation de VAG/VAS sous Windows®
Version VCDS: FRM 12.12.1.0
Version données: 20131014
VIN: Plaque d'immat.: AR-689-YB
Kilometrage: 222830km Ordre réparation::
Type chassis: XX (8D - Audi A4 B5 (1995 > 2001))
Scanner: 01 02 03 08 15 16 17 25 35 37 45 55 56 57 67 75 76 77
VIN: XXXXXXXXXXXXXXXXX Kilometrage: 222830km
-------------------------------------------------------------------------------
Adresse 01: Moteur Labels: FRM\038-906-019-115.lbl
No. pièce: 038 906 019 BR
Pièce: 1,9l R4 EDC 0200SG 1064
Codage: 00002
No. Atelier: WSC 00012
VCID: 68DF4E49080BA85E3C9-4A3A
3 Codes défaut trouvés:
18057 - Bus grpe motopropulseur Pas de message du Calculateur d’ABS
P1649 - 35-10 - - Intermittent
17978 - calculateur moteur bloqué
P1570 - 35-00 -
17965 - Régulation de pression de suralim. Limite de régulation dépassée
P1557 - 35-00 -
Tests passés: 0 0 X X X
-------------------------------------------------------------------------------
Adresse 03: Freins ABS Labels: 8E0-614-111-ASR.lbl
No. pièce: 8E0 614 111 AH
Pièce: ABS/ASR 5.3 FRONT D10
Codage: 00012
No. Atelier: WSC 06435
VCID: 64C75A79F423CC3E101-5072
Aucun code défaut trouvé.
-------------------------------------------------------------------------------
Adresse 08: Climatronic Labels: 8D0-820-043-1D.lbl
No. pièce: 8D0 820 043 M
Pièce: A4 KLIMAAUTOMAT D57
Codage: 00043
No. Atelier: WSC 06325
VCID: 2A5BF441D6875A4EEAD-2566
Aucun code défaut trouvé.
-------------------------------------------------------------------------------
Adresse 15: Airbags Labels: 8D0-959-655-AI8.lbl
No. pièce: 8D0 959 655 J
Pièce: Airbag Front+Seite 1001
Codage: 00106
No. Atelier: WSC 06325
VCID: 3D71CF1D3709DDF6BFF-5000
1 Code défaut trouvé:
01213 - Détonateur de rétracteur de ceinture centr. AR (N198)
36-00 - Coupure
-------------------------------------------------------------------------------
Adresse 17: Instruments Labels: 8D0-920-xxx-17.lbl
No. pièce: 8D0 920 900 R
Pièce: KOMBI+WEGFAHRS. M73 D56
Codage: 00140
No. Atelier: WSC 08390
VCID: 326BEC21FE57128E52D-4A3A
XXXXXXXXXXXXXXXXX AUZ5Z0I8168029
Aucun code défaut trouvé.
-------------------------------------------------------------------------------
Adresse 35: Verr. centralisé Labels: 8D0-862-257.lbl
No. pièce: 8D0 862 257 B
Pièce: ZV-Pumpe, Funk D12
Codage: 12865
No. Atelier: WSC 06325
VCID: 2C57F259DC73447E181-4DD6
1 Code défaut trouvé:
00956 - Clé 2
09-00 - Limite d'adaptation dépassée
Fin ---------------------------------------------------------------------
--------------------------------------------------------------------------------
--------------------------------------------------------------------------------
Type chassis: XX (8D - Audi A4 B5 (1995 > 2001))
Scanner: 01 02 03 08 15 16 17 25 35 37 45 55 56 57 67 75 76 77
VIN: XXXXXXXXXXXXXXXXX Kilometrage: 222840km
-------------------------------------------------------------------------------
Adresse 01: Moteur Labels: FRM\038-906-019-115.lbl
No. pièce: 038 906 019 BR
Pièce: 1,9l R4 EDC 0200SG 1064
Codage: 00002
No. Atelier: WSC 00012
VCID: 68DF4E49080BA85E3C9-4A3A
3 Codes défaut trouvés:
18057 - Bus grpe motopropulseur Pas de message du Calculateur d’ABS
P1649 - 35-10 - - Intermittent
17978 - calculateur moteur bloqué
P1570 - 35-00 -
17965 - Régulation de pression de suralim. Limite de régulation dépassée
P1557 - 35-00 -
Tests passés: 0 0 X X X
-------------------------------------------------------------------------------
Adresse 03: Freins ABS Labels: 8E0-614-111-ASR.lbl
No. pièce: 8E0 614 111 AH
Pièce: ABS/ASR 5.3 FRONT D10
Codage: 00012
No. Atelier: WSC 06435
VCID: 64C75A79F423CC3E101-5072
Aucun code défaut trouvé.
-------------------------------------------------------------------------------
Adresse 08: Climatronic Labels: 8D0-820-043-1D.lbl
No. pièce: 8D0 820 043 M
Pièce: A4 KLIMAAUTOMAT D57
Codage: 00043
No. Atelier: WSC 06325
VCID: 2A5BF441D6875A4EEAD-2580
Aucun code défaut trouvé.
-------------------------------------------------------------------------------
Adresse 15: Airbags Labels: 8D0-959-655-AI8.lbl
No. pièce: 8D0 959 655 J
Pièce: Airbag Front+Seite 1001
Codage: 00106
No. Atelier: WSC 06325
VCID: 3D71CF1D3709DDF6BFF-5000
1 Code défaut trouvé:
01213 - Détonateur de rétracteur de ceinture centr. AR (N198)
36-00 - Coupure
-------------------------------------------------------------------------------
Adresse 17: Instruments Labels: 8D0-920-xxx-17.lbl
No. pièce: 8D0 920 900 R
Pièce: KOMBI+WEGFAHRS. M73 D56
Codage: 00140
No. Atelier: WSC 08390
VCID: 326BEC21FE57128E52D-4A3A
XXXXXXXXXXXXXXXXX AUZ5Z0I8168029
Aucun code défaut trouvé.
-------------------------------------------------------------------------------
Adresse 35: Verr. centralisé Labels: 8D0-862-257.lbl
No. pièce: 8D0 862 257 B
Pièce: ZV-Pumpe, Funk D12
Codage: 12865
No. Atelier: WSC 06325
VCID: 2C57F259DC73447E181-4DD6
1 Code défaut trouvé:
00956 - Clé 2
09-00 - Limite d'adaptation dépassée
Fin ---------------------------------------------------------------------
Je souhaiterai que l'on m'explique,svp, la procédure a suivre pour régler les défaults :18057,17978 et surtout le
17965 qui je l'avoue m'inquiète ,a autre chose que j'ai oublié,entre les 2 logs cités ci-dessus,j'ai procédé au test du débimètre,ect..
tout cela via la procédure au VAGCOM pour obtenir le graphique du débimètre ainsi que celui de la pression du turbo mais hélas je ne possède ni le logiciel excel ni le vcscope de wiki-ross.
Voila ,j'éspère ne rien oublier,et je reste sur le qui-vive sur les solutions qui me seront proposées.
@+ manu
  • Réponses 368
  • Créé
  • Dernière réponse

Classement des membres dans ce topic

Posté(e)

Salut,

 

Pour ce défaut :
17965 - Régulation de pression de suralim. Limite de régulation dépassée
P1557 - 35-00 -
On l'a évoqué des dizaines de fois, c'est dû au mécanisme des aubes qui ne s'actionne pas librement dans le turbo, ce qui entraîne une surpression dans la tubulure d'admission, (valeur maxi dépassée) détectée par le capteur de pression, ceci a pour effet une mise en sécurité du moteur pour éviter la casse, il suffit de couper le contact et le remettre aussitôt pour l'annuler, ..... et rentrer tranquille.
Il faut démonter le turbo à géométrie variable pour un nettoyage complet, les aubes doivent pivoter librement.
Il existe une autre solution, mais qui ne fera pas de miracles très longtemps (à mon avis) : utiliser un produit nettoyant sans démontage.
Posté(e)

Et celui-ci :

 

17978 - calculateur moteur bloqué
P1570 - 35-00 -

 

découle certainement du fait de la mise en sécurité, quand la valeur de pression de suralimentation dépasse la valeur maxi de consigne.

Posté(e)

 

Salut,

 

Pour ce défaut :
17965 - Régulation de pression de suralim. Limite de régulation dépassée
P1557 - 35-00 -
On l'a évoqué des dizaines de fois, c'est dû au mécanisme des aubes qui ne s'actionne pas librement dans le turbo, ce qui entraîne une surpression dans la tubulure d'admission, (valeur maxi dépassée) détectée par le capteur de pression, ceci a pour effet une mise en sécurité du moteur pour éviter la casse, il suffit de couper le contact et le remettre aussitôt pour l'annuler, ..... et rentrer tranquille.
Il faut démonter le turbo à géométrie variable pour un nettoyage complet, les aubes doivent pivoter librement.
Il existe une autre solution, mais qui ne fera pas de miracles très longtemps (à mon avis) : utiliser un produit nettoyant sans démontage.

 

Salut et surtout merci Fredmurphy,

 

pour tes réponses,avec ça je sais désormais a quoi m'en tenir.

Ce qui m'étonne néanmoins ,c'est le fait que la géométrie variable s'encrasse aussi vite en sachant que lors de mon

échange standard de chra,j'ai pris le plus grand soin quant au nettoyage,ainsi que le bon fonctionnement (point dur)

En bref ,les faits sont là,donc je suis bon pour un démontage,nettoyage puis remontage de la géométrie variable.

 

En tout cas me voilà rassurer ,je n'ai plus cas me retroussé les manches,et encore merci.

 

@+manu.

Posté(e)

Si le mécanisme a été nettoyé et qu'il s'actionne librement, le problème peut provenir de l'électrovanne N75, qui le pilote .... ou du capteur de pression de suralimentation qui envoie des valeurs erronées au calculateur moteur.

Posté(e)

Salut Fredmurphy,

 

pour ce qui est de la N75 ça ok je vois ,en revanche peut-tu m'indiquer stp,ou se trouve le " capteur de pression de suralimentation qui envoie des valeurs erronées au calculateur moteur".

 

Merci pour ta réponse,@+.

Posté(e)

Si tu as le VAGCOM, tu peux observer la pression de suralimentation avec, (je ne connais pas le groupe de mesure sur Tdi 115, par contre).

Je vais regarder sur 7ZAP, je ne sais pas où se situe le capteur MAP sur le 115ch ....

Posté(e)

http://audi.7zap.com/fr/rdw/audi+a4+avant/a4/2000-223/1/145-145080/

 

Et ça le lien, tu peux visualiser les vues d'ensemble de ton auto avec ..... et trouver les références OEM des pièces.

Salut Fredmurphy,

encore un grand merci,et donc si je résume bien ,il me faut changer les pièces :13A et 14 sur le schéma ci-dessus que tu as posté.

 

Avec le lien ,j'ai rapidement trouvé les 2 références,peux-tu me dire si la référence suivante :

est là bonne ,car j'ai un peux de mal avec toutes les réf proposées.

 

Je te tiens au courant dés le montage suivi d'un essai routier et encore merci a toi :bien: .

 

@+

Posté(e)

Salut,

Le capteur n'est pas forcément HS, ça pourrait être une cause de défaillance de la régulation de pression de suralimentation......

Posté(e)

La N75 est plus souvent responsable, mais tu devrais au préalable contrôler que le mécanisme des aubes s'actionne librement

Posté(e)

Salut ,

j'ai lu attentivement vos post et vous en remercie.

Et donc si je résume bien ,je doit d'abord controler la géométrie variable a l'aide d'une pompe a vide et vérifier qu'il n'y est pas de

point dur ni de résistance et en profiterai pour donner un bon coup de nettoyage au débimètre de masse d'air.

Ah autre chose ,j'ai procédé au test routier via VAGCOM,et j'ai les 21 test qui s'affiche via VC-SCOPE,malheureusement je n'arrive

pas a faire de capture d'écran et encore moins a le mettre si le post et comme je ne sais pas interprété le schéma je ne pas

pas en dire plus.

Je suis tombé sur ça ,si cela n'a pas été déja poster:http://vag-repair.com/degrippage-turbo-a-geometrie-variable/

Je vous tiens au courant @+ manu.

Posté(e)

Salut ,

j'ai lu attentivement vos post et vous en remercie.

Et donc si je résume bien ,je doit d'abord controler la géométrie variable a l'aide d'une pompe a vide et vérifier qu'il n'y est pas de

point dur ni de résistance et en profiterai pour donner un bon coup de nettoyage au débimètre de masse d'air.

Ah autre chose ,j'ai procédé au test routier via VAGCOM,et j'ai les 21 test qui s'affiche via VC-SCOPE,malheureusement je n'arrive

pas a faire de capture d'écran et encore moins a le mettre si le post et comme je ne sais pas interprété le schéma je ne pas

pas en dire plus.

Je suis tombé sur ça ,si cela n'a pas été déja poster:http://vag-repair.com/degrippage-turbo-a-geometrie-variable/

Je vous tiens au courant @+ manu.

si tu dois te lancer dans une opération nettoyage géométrie variable , je te conseil ce tuto (seconde partie du tuto avec screen shot)

http://www.forum-auto.com/pole-technique/mecanique-electronique/sujet340842.htm

 

mais de mémoire , tu peux tester ta géo. en actionnant la tringle sur un cm à l'aide d'un tournevis (WauZZ en avait parlé , mais je ne sais plus dans quelle sujet .désolé)

Posté(e)

Merci pour tes conseils dxxk,

mais pour ce qui concerne le nettoyage de la géométrie variable j' ai procédé a son démontage et nettoyage complet lors de mon

changement du CHRA.

Pour ce que est du test de la wastegate,il me semble "mais pas sur' qu'avec l'aide d'une pompe a vide ,cette opération était a la

portée de tous et sans risque d'abimer la tige,quand pense-tu.

Par contre,de mon coté,et après avoir farfouillé dans le forum,je pencherai vers la G71 "réf 13A" sur le schéma posté par

Fredmurphy,mais il me reste 2 interrogations ,avoir les avis des experts en la matière et l'autre,savoir si la G71 peut etre controlée

et si oui comment!!!

 

@+

Posté(e)

Tu n'as pas besoin de pompe à vide, tu démarres le moteur, et ensuite tu débranches / rebranches la durite d'air sur la capsule qui actionne le mécanisme des aubes, ..... la rentrée / sortie de tige doit être rapide et sans à-coups


Il n'y a pas de wastegate sur un TGV

Posté(e)

Pour contrôler le capteur de pression de suralimentation, tu peux déjà utiliser VCDS et regarder la valeur au ralenti .... qui doit correspondre à la pression atmosphérique

Posté(e)

Salut.

 

Salut et surtout merci Fredmurphy,

 

pour tes réponses,avec ça je sais désormais a quoi m'en tenir.

Ce qui m'étonne néanmoins ,c'est le fait que la géométrie variable s'encrasse aussi vite en sachant que lors de mon

échange standard de chra,j'ai pris le plus grand soin quant au nettoyage,ainsi que le bon fonctionnement (point dur)

En bref ,les faits sont là,donc je suis bon pour un démontage,nettoyage puis remontage de la géométrie variable.

 

En tout cas me voilà rassurer ,je n'ai plus cas me retroussé les manches,et encore merci.

 

@+manu.

 

 

A titre personnel, j'ai nettoyé un turbo en septembre, parcouru 10000kms, eu un mode dégradé en février. La géo présentait 4 points durs sur 1cm de course. J'ai ouvert le turbo, les pales n'étaient pas spécialement chargées. J'ai fait le choix de changer le système de géométrie variable.

 

Pour lire tes relevés vcdc sans excell tu peux télécharger le logiciel gratuit "libre office" qui contient un tableur. Tu pourras alors voir tes relevés, les mettre sous forme de tableau, faire des courbes aussi.

 

Pour les relevés vcdc, à titre perso, j'opère ainsi :

Pour avoir les valeurs de pression mesurées par G71, les valeurs lues par le débimètre et le taux de travail de la N75, il faut dans vcdc

A l'arrêt, moteur allumé :

- sélectionner le calculateur moteur

- aller dans groupe de mesures

- dans le premier champs "groupe", écrire 003, dans le second écrire 010 et dans le troisième écrire 011. (ces 3 groupes sont pour un moteur AFN. Pour ton 115 à vérifier !!)

en bas de la fenêtre, cliquer sur enregistrer, donner un nom au fichier, puis lancer.

- faire l'essai routier, plusieurs minutes s'il le faut. faire des phases en écrasant la pédale d'accélérateur à 100%. Si possible amener le véhicule à se mettre en mode dégradé.

Une fois terminé de promener, cliquer sur arrêt.

 

Pour récupérer les données, rechercher le répertoire nommé "log" de vcdc. Tu y retrouveras le fichier obtenu pendant l'essai routier

 

Ma petite expérience me fait affirmer que surpression = pb de géométrie variable dans 90% des cas.

Avant tout achat de débimètre ou autre capteur, tente ce que te dit fredmurphy en jouant à brancher-débrancher la durite de dépression sur l'actuateur :

Si mouvement trop court (ne va pas en buté haute, (buté visée visible sous l'actuateur) ou en butée base) ou mouvement

saccadé, il faut ouvrir le turbo.

Par contre si ta GV est fluide, alors là, il faut des chiffres pour affiner le diagnostic. VCDC est là pour ça.

Posté(e)

Salut.

 

 

 

A titre personnel, j'ai nettoyé un turbo en septembre, parcouru 10000kms, eu un mode dégradé en février. La géo présentait 4 points durs sur 1cm de course. J'ai ouvert le turbo, les pales n'étaient pas spécialement chargées. J'ai fait le choix de changer le système de géométrie variable.

 

Pour lire tes relevés vcdc sans excell tu peux télécharger le logiciel gratuit "libre office" qui contient un tableur. Tu pourras alors voir tes relevés, les mettre sous forme de tableau, faire des courbes aussi.

 

Pour les relevés vcdc, à titre perso, j'opère ainsi :

Pour avoir les valeurs de pression mesurées par G71, les valeurs lues par le débimètre et le taux de travail de la N75, il faut dans vcdc

A l'arrêt, moteur allumé :

- sélectionner le calculateur moteur

- aller dans groupe de mesures

- dans le premier champs "groupe", écrire 003, dans le second écrire 010 et dans le troisième écrire 011. (ces 3 groupes sont pour un moteur AFN. Pour ton 115 à vérifier !!)

en bas de la fenêtre, cliquer sur enregistrer, donner un nom au fichier, puis lancer.

- faire l'essai routier, plusieurs minutes s'il le faut. faire des phases en écrasant la pédale d'accélérateur à 100%. Si possible amener le véhicule à se mettre en mode dégradé.

Une fois terminé de promener, cliquer sur arrêt.

 

Pour récupérer les données, rechercher le répertoire nommé "log" de vcdc. Tu y retrouveras le fichier obtenu pendant l'essai routier

 

Ma petite expérience me fait affirmer que surpression = pb de géométrie variable dans 90% des cas.

Avant tout achat de débimètre ou autre capteur, tente ce que te dit fredmurphy en jouant à brancher-débrancher la durite de dépression sur l'actuateur :

Si mouvement trop court (ne va pas en buté haute, (buté visée visible sous l'actuateur) ou en butée base) ou mouvement

saccadé, il faut ouvrir le turbo.

Par contre si ta GV est fluide, alors là, il faut des chiffres pour affiner le diagnostic. VCDC est là pour ça.

Salut

il est impératif avant tout de vérifier l'étanchéité des durites .....c'est con de dire ça ...parfois une simple fuite (vite réparé ) !!

et le fusible s234 10Amp

Posté(e)

Salut ,

merci a tout les 3 pour vos réponses apportées a mes problèmes.

j'ai de suite executé le test de la géométrie variable,résultat concluant,en débranchant la durite,la tige descend bien et sans aucun

accoup ,en rebranchant la durite,la tige remonte sans accoup mais plus lentement que la descente.

 

Pour contrôler le capteur de pression de suralimentation, tu peux déjà utiliser VCDS et regarder la valeur au ralenti .... qui doit correspondre à la pression atmosphérique

Pour te répondre ,j'ai exactement au ralanti,903 tr/m ,pres adm spéc=999.6,pres adm réel=1030.4,et taux act N75=19.9%

 

Salut

il est impératif avant tout de vérifier l'étanchéité des durites .....c'est con de dire ça ...parfois une simple fuite (vite réparé ) !!

et le fusible s234 10Amp

En effet ,j'ai suivi ton conseille et es bien vérifier si il y avait présence de fuite sur tout le circuit de suralimentation ,résultat ras et

en ayant le moteur au ralenti.

 

Salut.

 

 

 

A titre personnel, j'ai nettoyé un turbo en septembre, parcouru 10000kms, eu un mode dégradé en février. La géo présentait 4 points durs sur 1cm de course. J'ai ouvert le turbo, les pales n'étaient pas spécialement chargées. J'ai fait le choix de changer le système de géométrie variable.

 

Pour lire tes relevés vcdc sans excell tu peux télécharger le logiciel gratuit "libre office" qui contient un tableur. Tu pourras alors voir tes relevés, les mettre sous forme de tableau, faire des courbes aussi.

 

Pour les relevés vcdc, à titre perso, j'opère ainsi :

Pour avoir les valeurs de pression mesurées par G71, les valeurs lues par le débimètre et le taux de travail de la N75, il faut dans vcdc

A l'arrêt, moteur allumé :

- sélectionner le calculateur moteur

- aller dans groupe de mesures

- dans le premier champs "groupe", écrire 003, dans le second écrire 010 et dans le troisième écrire 011. (ces 3 groupes sont pour un moteur AFN. Pour ton 115 à vérifier !!)

en bas de la fenêtre, cliquer sur enregistrer, donner un nom au fichier, puis lancer.

- faire l'essai routier, plusieurs minutes s'il le faut. faire des phases en écrasant la pédale d'accélérateur à 100%. Si possible amener le véhicule à se mettre en mode dégradé.

Une fois terminé de promener, cliquer sur arrêt.

 

Pour récupérer les données, rechercher le répertoire nommé "log" de vcdc. Tu y retrouveras le fichier obtenu pendant l'essai routier

 

Ma petite expérience me fait affirmer que surpression = pb de géométrie variable dans 90% des cas.

Avant tout achat de débimètre ou autre capteur, tente ce que te dit fredmurphy en jouant à brancher-débrancher la durite de dépression sur l'actuateur :

Si mouvement trop court (ne va pas en buté haute, (buté visée visible sous l'actuateur) ou en butée base) ou mouvement

saccadé, il faut ouvrir le turbo.

Par contre si ta GV est fluide, alors là, il faut des chiffres pour affiner le diagnostic. VCDC est là pour ça.

Merci dangi pour l'astuce concernant excel,

pour ce qui est de la géo var c'est ok.

 

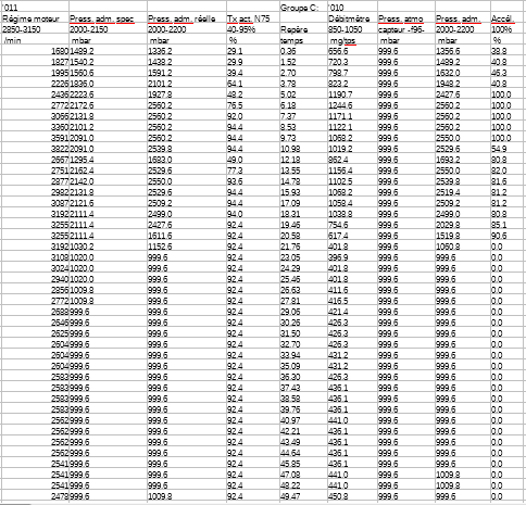
Je vais donc vous indiquer les chiffres relevés pendant mes tests via VAGCOM,

j'ai utilisé pour cela les groupes 03,10,et 11 du VAGCOM.

groupe 03 (débimètre)au ralenti: 903 tr/m , 250 mg/fps , 480.2 mg/fps , 84.4%

groupe 011 (pression turbo) au ralenti: 903 tr/m, 999.6 m/bar ,1030.2 m/bar ,19.9%

 

le meme test mais a pleine charge pied au plancher,

groupe 011 : 3360 tr/m , 2091 m/bar , 2519 m/bar , 94.4%

groupe 03 : 3528 tr/m , 850 mg/fps , 1058 mg/fps , 19.9%

 

Voila ,si j'ai oublié des choses ou bien si j'ai mal executé un test ,ou bien a essayer d'autres choses ,surtout n'hésiter pas et bien

entendu ,j'attend avec impatience vos commentaires concernant tout ces chiffres.

 

@+

Posté(e)

Salut.

Il semble que tu aies fait des relevés instantanés. Si dans "groupes de mesures" du avais cliquer sur "enregistrer" en bas à droite de l'écran, vcdc aurait enregistré des centaines de lignes de données. toutes ces lignes donnent bien plus d'informations pour pouvoir faire un diagnostic de panne par rapport à uniquement 4 lignes prises à des temps différents.

Essaie d'appliquer ceci à la lettre :

A l'arrêt, moteur allumé :

- sélectionner le calculateur moteur

- aller dans groupe de mesures

- dans le premier champs "groupe", écrire 003, dans le second écrire 010 et dans le troisième écrire 011. (ces 3 groupes sont pour un moteur AFN. Pour ton 115 à vérifier !!)

en bas de la fenêtre, cliquer sur enregistrer, donner un nom au fichier, puis lancer.

- faire l'essai routier, plusieurs minutes s'il le faut. faire des phases en écrasant la pédale d'accélérateur à 100%. Si possible amener le véhicule à se mettre en mode dégradé.

Une fois terminé de promener, cliquer sur arrêt.

 

Une fois le fichier trouvé dans le répertoire logs de vcdv, l'ouvrir avec libre office ou excell pour le rendre plus lisible (en gros, ces logiciels permettent de mettre les données de chaque ligne sous forme de tableau et non sous forme de valeurs séparées par une virgule.

 

VCDC génére ça :

2010_05_09_17_29_39_image.php.png

 

et excell ou libre office permet ceci :

2014_10_07_22_16_14_Sans-titre000.png

Posté(e)

J'ai réussi a me procurer libre office,et j'ai obtenu le meme tableau que tu as affiché ,

mais le souci est que je n'arrive pas a le poster sur le forum,que se soit par le biais d'un copier-coller ou en passant

par Hostingpics.

Peut-tu m'indiquer,stp,la procédure a suivre ,d'avance merci.

 

@+






































Posté(e)

Tu fais une copie d'écran que tu colles dans Paint, tu enregistres et héberges sur hostingpics ;)

Posté(e)

Salut a tout les 3 :kimouss: ,

je me répète mais encore merci ,j'ai posté tant bien que mal le tableau obtenu avec libre office,et surtout pardon pour la piètre

qualité du tableau,mais il se trouve que je ne peux plus inséré d'image ou de photo a partir de l'onglet "insérer une image" :reflexion: .

Sinon en ce qui concerne mon problème de pression turbo,cela c'est encore reproduit ce soir ,sur le troisième rapport vers la

zone des 3500 tr/m,et re-hop elle c'est mise en sécurité :pleure2: .

Je tenais aussi a dire ceci,autant j'en apprend en mécanique et surtout en audi b5,mais aussi,et ce n'est pas peut dire en informatique.

 

Dans l'attente de vos propositions,@.manu.

Posté(e)

Salut.

Pendant les 36 secondes décrites sur le tableau, accélères tu à 100 % ou pas ?

C'est étonnant d'ailleurs qu'il n'y est pas la colonne % accélérateur présente dans le tableau.!!

 

Car sans cette donnée, il est difficile de savoir pourquoi les chiffres varient Est ce à cause d'une action sur l'accélérateur ou pas. Par exemple, on voit que du passes de 1,5b à 0,6puis à nouveau à 1,5b tout ça en moins de 3 secondes. Difficile de savoir pourquoi !!

Peux tu m'éclairer ?

Posté(e)

Oui effectivement peux-tu nous préciser ça ? Sinon la mise en sécurité se voit bien vers 3250 trsmin. Il y a clairement une différence d'au moins 400mbars qui provuqe cette mise en sécurité

 

Ton turbo souffle trop fort visiblement. Surpression venant du grippage de la GV ?

Posté(e)

Salut a tous,

et surtout merci pour l'attention que vous porter a mes post :kimouss: .

Je rajoute 2 autres liens pour compléter le tableau des données car en effet,je n'avais pas tout poster :Forum82: ,le 1er est la suite du post ci-dessus(mais la partie de droite):

[/url]">http://830060Capturelog3.png

 

le second est le ll'autre moitié du tableau mais cette fois en une partie,en éspèrant est clair

[/url]">http://854592Capturelog4.png

 

En éspèrant que cela convienne,et pour te répondre audidriver,j'ai procédé comme me l'a indiquer Fredmurphy,au test de la

géométrie variable a plusieurs reprises et R.A.S de ce coté donc :reflexion: .

 

@+ manu

Posté(e)

Salut.

Merci pour ces rajouts.

Bon, comme dit plus haut, tu as une pression de sural qui avoisine les 1,5 voir 1,6 bars. C’est bien trop, donc passage en mode dégradé.

Vu que tu nous confirmes que la GV est fluide, on pourrait penser dans un premier temps à un capteur G71 fatigué qui sur-estime ses mesures, qui mesure 1,5 bars alors qu’en fait il n’y en a qu'un (bar). Or au ralenti, on voit que ce capteur G71 mesure presque la même valeur que le capteur de pression atmosphérique. On peut donc en déduire que le G71 n’est pas si mauvais que ça dans ses mesures.

Ok il est bon dans les pressions basses mais peut être pas dans les pressions hautes.

Pourtant, je pense que là aussi il est bon car en regardant la colonne de la N75, on voit qu’elle fait tout pour faire baisser la pression (elle bosse à plus de 90% ) mais sans effet. On peut donc en conclure que le pb se « déplace » vers la N75.

Si maintenant on regarde de plus prés la N75 on voit que le calculateur lui dit de bosser à + de 90% quand il y a plus de 1,5b. Soit elle ne le fait pas vraiment, donc dans ce cas là elle est défectueuse , soit elle bosse bien à 90% mais n’arrive pas à faire bouger la GV.

A force de réfléchir à mes propres soucis de turbo et après quelques démontages, j’en ai conclu qu’un turbo à GV a 3 phases :

-phase 1 : Le moteur est au ralenti. La N75 bosse à 19%, la GV est en butée extérieure, les pales sont en position fermée et dérivent les gas d’echappement autour de la turbine sans vraiment la toucher, l'effleure.

- Phase 2 : les pales orientent les gaz sur la turbine avec un angle variable mais dont le max n’est pas la butée intérieure. La N75 bosse entre 19% et 75%

- Phase 3 : La N75 bosse à + de 75% , la tige est sortie au max, la GV est sur sa butée intérieure , les pales projetent les gas d’échappement vers le centre de la turbine pour générer un freinage de sa rotation. (cette phase est facile à voir, il suffit de débrancher la durite de dépression de l’actuateur, la GV se place sur sa butée intérieure et là, la voiture est un véritable veau, le turbo ne déclenche pas, jamais, à aucun régime moteur).

Je pense que ta GV est fluide mais pas sur toute sa course. A mon avis elle ne va pas de butée à butée. La GV arrive par aspiration de l’actuateur jusqu’à sa butée extérieure mais le ressort de l’actuateur n’arrive pas à faire descendre la GV jusqu’à sa butée intérieure. A + de 90% ta gv devrait arrivée à sa butée intérieure pour mettre les pales dans une position totalement ouverte, position qui freine la turbine.

A la main, il faudrait que tu actionnes ta tige de GV non pas vers l’actuateur mais à son opposé. Peut être constateras tu un point dur qui bloque quelques millimètres de course. Avec le test vagcom, le mouvement observé ne va peut être pas de butée intérieure à butée.extérieure.

Posté(e)

Salut Dangi,

 

Le problème est peut-être simplement sur la durite de mise à l'air de la N75 ..... (comme sur un autre sujet où un insecte était venu boucher le tuyau)

 

Le fonctionnement de la N75 sur un turbo à géométrie variable est plus complexe encore ......

Posté(e)

Salut Dangi et Fredmurphy,

 

merci pour vos explications,donc si je suis bien vos conseils,en 1er lieu ,il faut que je vérifie la tige de la GV manuellement

"sans forcer ,je présume".

En 2eme lieu,il faut que je démonte la G75 afin de la nettoyée ,et surtout,une fois démonter,il y a-t-il un moyen autre de vérifier

son bon fonctionnement.

Et pour terminer,puis passer un coup de soufflette dans toutes les petites durites ou bien es-ce a éviter !!!!

 

A bientot,@ manu.

Posté(e)

Salut.

Une N75 n'est pas vraiment nettoyable car tout type de lubrifiant même sec pourrait endommager la membrane souple intérieure.

Je te conseille de changer plutot que de nettoyer.

Par contre avant tout achat de N75, n'hésite pas à souffler dans sa durite de mise à l'air libre comme te le conseille judicieusement FredMerphy. Ensuite n'hésite pas à solliciter la tige de la GV de butée à butée. Force un peu tout de même à la main, sans outil, pour voir si la tige ne sortirait pas un peu plus de la capsule.

Posté(e)

Salut Dangi,

 

Le problème est peut-être simplement sur la durite de mise à l'air de la N75 ..... (comme sur un autre sujet où un insecte était venu boucher le tuyau)

 

Le fonctionnement de la N75 sur un turbo à géométrie variable est plus complexe encore ......

 

Salut Fredmurphy :

le Fonctionnement d'une GV ne s'explique peut être pas qu'en 3 phases mais je pense qu'il y a au moins ces 3 phases. Le pb, c'est que je ne trouve pas vraiment de doc qui me confirme ma phase 3.

Posté(e)

Salut.

Une N75 n'est pas vraiment nettoyable car tout type de lubrifiant même sec pourrait endommager la membrane souple intérieure.

Je te conseille de changer plutot que de nettoyer.

Par contre avant tout achat de N75, n'hésite pas à souffler dans sa durite de mise à l'air libre comme te le conseille judicieusement FredMerphy. Ensuite n'hésite pas à solliciter la tige de la GV de butée à butée. Force un peu tout de même à la main, sans outil, pour voir si la tige ne sortirait pas un peu plus de la capsule.

Salut dangi,

 

le soufflage de toutes les durites a été fait,en revanche le problème reste toujours d'actualité.

En ce que concerne la sollicitation de la tige de GV a la main,le soucis réside dans le fait que je n' arrive pas a y passer mes doigts et oui,je n'ai pas les doigts de ma mère :je_sors: .

@+ manu

Posté(e)

Salut.
La pièce totalement noire est une N18, electrovanne qui commande la vanne EGR.

La pièce noire et blanche est une N75 electrovanne qui commande la capsule de dépression de la GV.

 

Ces 2 systèmes sont très similaires à tel point que certains les intervertissent pour faire des tests lors de dysfonctionnements de l'une ou de l'autre.

 

Tu peux d'ailleurs le faire toi aussi pour voir si tes soucis de surpression se résoudraient en mettant la N18 à la place de la N75.

Posté(e)

Salut dangi,

 

le soufflage de toutes les durites a été fait,en revanche le problème reste toujours d'actualité.

En ce que concerne la sollicitation de la tige de GV a la main,le soucis réside dans le fait que je n' arrive pas a y passer mes doigts et oui,je n'ai pas les doigts de ma mère :je_sors: .

@+ manu

Salut

quand on réalise un test , de toute façon , faut etre 2 personnes ..c'est plus facile car on ne peux etre "au four et au moulin "

essaie de trouver quelqu’un qui peux te seconder , parfois un autre avis voie des choses que toi ne remarque pas !!

 

un petit tuto sympas à suivre pas à pas ensuite !

http://www.problemauto.com/IMG/pdf/art751_7.pdf

 

pour info sur ma tdi 110 , j'arrive avec mes gros dois à faire bouger la tige ( meme si ce n'est pas forcement evident )

Créer un compte ou se connecter pour commenter

Vous devez être membre afin de pouvoir déposer un commentaire

Créer un compte

Créez un compte sur notre communauté. C’est facile !

Créer un nouveau compte

Se connecter

Vous avez déjà un compte ? Connectez-vous ici.

Connectez-vous maintenant
×
×
  • Créer...